[コンプリート!] 二項定理 公式 160688-二項定理 公式 三項
May 10, 21 · 二項定理の基本公式 二項定理の基本公式は上のリンクでも述べたとおり、下のようになります。 E (X)=np V (X)=npq σ (X)=√npq この公式の証明をしていきます。 講師は全員京大生だJan 08, 18 · 二項定理 定理 を自然数とするとき、 このとき とします。 しかし、このシグマで表された公式では覚えにくいし分かりにくいので、具体的にかき出しておけば良いのです。 例えば、 この各項の次数と係数はパスカルの三角形で求まります。 ⇒ 数学Ⅰ基礎 パスカルの三角形と展開公式 その係数を順番にDec 21, 18 · 二項定理とは? それではさっそく二項定理の公式について解説していきます。 11 二項定理の公式 二項定理 \( \color{red}{ \begin{align} (ab)^n = & {}_n \mathrm{C}_0 a^n b^0 {}_n \mathrm{C}_1 a^{n1} b^1 \\ & {}_n \mathrm{C}_2 a^{n2} b^2 \cdots \\ & {}_n \mathrm{C}_r a^{nr} b^r \cdots \\ & {}_n \mathrm{C}_n a^0 b^n
二项式求常数项题型 高中数学二项式定理中 二项式系数 系数 常数项分别是什么 求解答 三人行教育网 Www 3rxing Org
二項定理 公式 三項
二項定理 公式 三項-Try IT(トライイット)のnCr と2項定理の練習の映像授業ページです。Try IT(トライイット)は、実力派講師陣による永久0円の映像授業サービスです。更に、スマホを振る(トライイットする)ことにより「わからない」をなくすことが出来ます。全く新しい形の映像授業で日々の勉強の「わからMar 15, · ディープラーニングなどの機械学習を理解するには、微分の概念を理解しておく必要があります。 そして、微分を計算するのに役立つ「導関数の公式」は、二項定理を理解していれば自力で導き出せるんですよね。 そこで今回は、『数学ガールの秘密ノート/場合



二項定理 おいしい数学
定理 &$(二項定理 定理 &$) 二項係数に対する反転公式 定理 &$ 多項係数の性質 定理 &$ 多項定理 定理 &$ 一般化二項展開 定理 &$ 全射関数の個数と乱列の個数 定理 '$ ベル数の性質 定理 '$ 第 種のスターリング数の性質 定理 '$ 第 種のスターリング数の性質 定理Apr 10, 17 · 二項定理の有名な公式を解説! ここでは、大学受験で使える二項定理の有名な公式を3つ説明します。 「何かを選ぶということは、他を選ばなかったということ」 まずはこちらの公式。 文字のままだとわかりにくい方は、数字を入れてみてください。 6c4 = 6c2Oct 29, · 二項定理とは,\( n\)乗の式を展開する以下のような公式のことです \begin{align*} (ab)^n&=\displaystyle\sum_{k=0}^n{}_n\mathrm{C}_ka^{nk}b^{k}\\
Sep 22, 16 · 当ページは確立質量関数からの二項分布の期待値・分散の導出過程を記しています。一行一行の式変形をできるだけ丁寧にわかりやすく解説しています。モーメント母関数(積率母関数)を用いた導出についてもこちらでご案内しております。二項係数 二項定理の展開形は(n1)項からなる多項式となるが、 この (n1)個の項を、第0項から第n項という風に数えあげて行った場合の第r項の係数 n C r を 二項係数と呼び、それが二項定理です。 (a+b)⁴を展開した項の係数に規則性がないか考えてみると "a⁴":₄C₀=1個 "a³b":₄C₁=4個 "a²b²":₄C₂=6個 "ab³":₄C₃=4個 "b⁴":₄C₄=1個 と表記できることに気がつけます。 これを公式としてまとめると次のようになります。
Jun 14, 19 · 二項定理 (xy) 3 を展開した時の「x 2 y」の係数はいくつかというと、公式「(xy) 3 =x 3 3x 2 y3xy 2 y 3 」を思い出せば「3」と分かります。 しかし (xy) 10 を展開した時の「x 2 y 8 」の係数はいくつになるかは公式を覚えていないし実際に展開するのは面倒くさいですね。 これを簡単な計算で求めるMar 12, 21 · 二項係数の有名公式を紹介し,それぞれ代数的な方法と組み合わせ的な方法で導きます。 特に3つ目の公式は整数問題にも応用することができる重要な公式です。 なお,二項定理の基本的な話題については二項定理の意味と2通りの証明を参照して下さい。 → 二項係数の有名公式一覧と2つFeb 15, · 二項定理を確認! (1)の解説、二項定理を使った基礎問題 (2)の解説、約分ができるので注意!定数項は? (3)の解説、3項ある場合の考え方 (4)の解説、同じ文字がある場合は? まとめ! 数学の成績が落ちてきたと焦っていませんか?



二項式定理



二項定理とは 東大生が公式や証明問題をイチから解説 高校生向け受験応援メディア 受験のミカタ
Nov 10, 19 · 工学博士 二項定理の式はかなり複雑に見えますよね。 しかし、あなたなら絶対に理解できます。 理解できるように解説しましたので、ぜひご一読ください。 また、二項定理の理解には、組み合わせの公式 の計算が必要になりますので、先に理解して前回 http//googl/1vJZgA 次回 http//googl/RRbjy8サブチャンネル とある男がゲームをしてみた→http//googl/sfOiHn(ab)1 = 1⋅a1⋅b (a b) 1 = 1 · a 1 · b



二项式定理的系数cnk怎么求 百度经验



什么 多项式定理都不会 从此三项式秒杀 知乎
主な業績としてド・モアブルの定理( 任意の自然数に対して (cos p 1sin )n = cosn p 1sinn が成り立つという定理, )を証明したことが知られている, ま た負の二項分布, 二項分布の極限としての正規分布, 今日スターリングの公式として知られる近似式なども彼Apr 10, 17 · 二項定理はアルファベットや変な記号がたくさん出てきてよくわかんない! というあなた。 確かに二項定理はぱっと見だと寄り付きにくいですが、それは公式を文字だけで覚えようとしているから。「意味」を考えれば、当たり前の式として理解し、覚えることができます。911 二項 分布と第一種 このノートではまず最初にガンマ分布に関する中心極限定理からStirling の公式が\導出" されることを説明する その後は様々な方法でStirling の公式を導出す



讀讀 牛頓發現 二項式的過程和高超的思維技巧 每日頭條



二項定理 公式の証明や係数の求め方を解説 基礎から大学受験まで Studyplus スタディプラス
二項分布からガウス分布:中心極限定理, ポアソン分布 Masahiro Yamamoto Modi ed on May 22, 17 イカ京なら必ず持っているといわれる名著「確率・統計入門」小針アキ宏 (岩波書店, 1973)を参考に二項式定理 在國中曾學過二項和的平方公式為 ,但對於二項和的立方公式如 則未學過公式,但我們可以利用 來找出結果如下: 我們想知道如果要推廣二項和的四次方、五次方或更一般的二項和之n次方, 它的展開式是否有一般的公式呢? 我們再往下看Jul 08, 19 · 前回説明した「二項係数の和」も有名な公式の1つであり,入試でよく出題される問題です。今回の記事では,二項係数の有名な3つの公式について説明します。いずれも重要な公式であり,より複雑な問題の基礎ともなります。



二项式的展开式的常数项定理 哔哩哔哩 つロ干杯 Bilibili



二项式定理常用公式 搜狗搜索
二項の代数和のn乗(nは正整数)の展開公式を二項定理という。 式で書けば、 となる。 各係数 を二項係数といい、これをまた記号 で表すこともある。 この n C k の数値はn個の異なるものからk個のものを選び出す仕方(選出の順序は考えない)の総数である(組合せの数)。Jan 22, 19 · 二項定理を導出する では公式を作りましょう。 といってもどうしたら良いでしょうか。 もちろん一個一個確認するなんてやり方はできませんのでうまい方法を考えなくてはなりません。 まず一番最初に考えた 2 乗の展開から考えてみます。 これを一個Try IT(トライイット)のnCr と2項定理の映像授業ページです。Try IT(トライイット)は、実力派講師陣による永久0円の映像授業サービスです。更に、スマホを振る(トライイットする)ことにより「わからない」をなくすことが出来ます。全く新しい形の映像授業で日々の勉強の「わからない



二項定理 パスカルの三角形 優技録



二项式定理概念公式称为二项式定理 二项式系数各项的系数c N R R 0 1 2 N 二项式通项c N R A N
をまず思うだろう.但し,二項係数は $Matrix= \frac{x(x1)\cdots(xn1)}{n!}$ と定義される.この有用な公式自体はもちろん,今回も後に活躍する.しかし,タイトルに 関わる二項定理,三項定理は,むしろ高校生の思い浮かべるものと言ってよいApr 11, 18 · 二項定理の公式にC (コンビネーション)が出てくる理由 となっています。 これはaの三乗を作るためには (ab) (ab) (ab)の中からa掛けるa掛けるaを 選び出す しか無く、その 場合の数を求める為にCを使っている のです。 この場合では1通りなので (1)・ (a^3)となっています。 同様に、 a 2 bの係数を考えると、(ab) (ab) (ab)から、aを2つとbを1つ選ぶ場合の数をMar 06, 21 · 二項定理とは, n n n 乗の式を展開するための以下のような公式のこと: ( a b ) n = ∑ k = 0 n n C k a n − k b k (ab)^n=\displaystyle\sum_{k=0}^n{}_n\mathrm{C}_ka^{nk}b^{k} ( a b ) n = k = 0 ∑ n n C k a n − k b k



01 二项式定理 高中数学 Youtube



高中數學必修五 二項式定理突破點 一 二項式的通項公式及應用 每日頭條
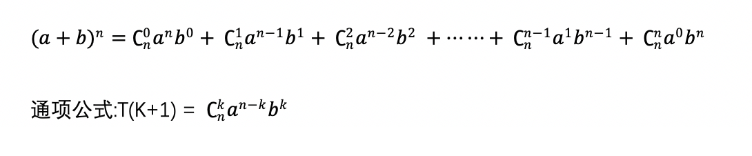
二項定理とは $(xy)^2$ を展開すると,$(xy)^{2}=x^22xyy^2$ となります. また,$(xy)^3$ を展開すると,$(xy)^3=x^33x^2y3xy^2y^3$ となります.このあたりは多くの人が公式として覚えているはずです.では,指数をさらに大きくして,$(xy)^4,(xy)^5,$ の展開は一般にどうなるでMar 26, 21 · "二項定理"の公式とその証明です! 二項定理公式二項定理\((ab)^n=_nC_0a^n_nC_1a^{n1}b_nC_ra^{nr}b^r\) \(_nC_{n1}ab^{n1}_nC_nb^n\Jun 06, 21 · 二項定理は,二項に関する定理ですから, (ab)とか, (xy)のように,2つの「項」がある式を相手にしています。 もちろん,3x4yや,a 2 3bcという式も「二項」です。 (ab)の1乗はabです。 (ab)の2乗はa 2 2abb 2 です。



二項式定理 維基百科 自由的百科全書



高校数学無料問題集 数 第1章 式と証明 二項定理 多項定理 桝 ます Note
三角関数は周期関数なので、逆関数は多価関数である。 逆関数の性質から以下が成り立つ: =,() = / /ピタゴラスの定理 ピタゴラスの定理やオイラーの公式などから以下の基本的な関係が導ける 。 = ここで sin 2 θ は (sin(θ)) 2 を意味する。 この式を変形して、以下の式が導かれる:Jul 15, · 二項定理とは?公式 二項定理とは、 \((a b)^n\) を展開した際の各項の係数を与える定理 です。重要 二項定理の公式: n C r a n−r b r において, a n−r, b r については 「係数も何乗かする」ことが重要 係数 何乗 × n C r が係数になる 負の数を奇数乗すると負の数になる.



二項式定理原理及其範例 Youtube



1
Apr 15, 19 · 今まで学んだ展開公式として、中学数学で学んだ や、三乗の展開公式で学んだ といったものがあります。 次に問題となるのが、 や ですが、数字を一つずつ増やして調べていくのではきりがありませんね? ここでは 乗の展開、つまり を計算するための方法である、二項定理についての解



二項式 二項式是只有兩項的多項式 即兩個單項式的和 是僅次於單項式的最簡 百科知識中文網



一招破解高中数学二项分布与超几何分布



二项式定理 高中数学知识点 教育杏坛



問題二項式定理 課業板 Meteor 學生社群



二项式定理公式推导 技术成就梦想 梦想成就未来 Csdn博客 二项式定理的推导



12 二項定理 多項定理 京極一樹の数学塾



Word如何输入数学中 二项式定理 公式 百度经验



二项式定理 搜索结果 哔哩哔哩 Bilibili



二項定理を簡単に覚える 定数項 係数の求め方 高校数学の知識庫



高中数学知识点 二项分布 高二知识点总结 求学网



二項定理とは 東大生が公式や証明問題をイチから解説 高校生向け受験応援メディア 受験のミカタ



二项式定理 高中数学知识点 教育杏坛



二項定理を超わかりやすく解説 公式 証明 係数 問題 理系ラボ



二項式定理 翰林雲端學院



二項式定理應用二項式定理及其應用 Edoule



21i 6left 1 Xleft 1righ Descubre Como Resolverlo En Qanda



二項定理 おいしい数学



公式 二項定理について 高校数学マスマスター 学校や塾では教えてくれない 元塾講師の思考回路の公開



二项式定理公式 搜狗百科



二项式定理的常数项及找r Part 1 Youtube



二項式 二項式是隻有兩項的多項式 即兩個單項式的和 是僅次于單項式的最簡單多項式 華人百科



二項式定理 發展簡史 定理定義 二項式的矩陣形式 驗證推導 定理推廣 定理意義 套 中文百科全書



組み合わせの公式2 高校数学 二項定理周辺の公式 身勝手な主張



二項式定理 維基百科 自由的百科全書



二項式定理 維基百科 自由的百科全書



14高考数学复习资料 二项式定理 公式定理资讯 新东方在线移动版



展開式の係数の求め方 二項定理を使ったやり方をイチからやってみよう 数スタ



二项式求常数项题型 高中数学二项式定理中 二项式系数 系数 常数项分别是什么 求解答 三人行教育网 Www 3rxing Org



二项式定理



二项式定理十大典例 知乎



二項定理公式 大学受験の王道



二项展开式 搜索结果 哔哩哔哩 Bilibili



二項定理 二項定理とはなにか 大人が学び直す数学



1



3



牛顿的数学成就 之一 二项式定理



高考小题 二项式定理の十秒搞定常数项 知乎



改訂版 4step数学 P7 2 二項定理



一天一道高考題095二項式定理 每日頭條



笔记 排列组合公式 二项式定理 Coke的博客 Csdn博客 二项式定理公式



二項定理ってなんだよ 多項定理ってなんだよ ってなっている君へ



Ppt如何创建二项式定理公式 百度经验



二项式定理 知乎



Q二項定理 Wikipedia



高中二项式定理有理项 在数学的二项式定理中的有理项是什么意思 三人行教育网 Www 3rxing Org



二项式定理公式妙解高考真题 颠覆你想象的解题技巧 肖博数学



二項式定理的通項公式一 Youtube



高中二项式定理有理项 在数学的二项式定理中的有理项是什么意思 三人行教育网 Www 3rxing Org



二項定理の基本 Youtube



排列組合二項式定理給一等比多項式連加求某一項係數要利用等比級數合的公式填充永平段考 Youtube



高校数学 二項定理の応用 累乗数の余りと下位桁 受験の月



数数学saisinata S Reizinasanas公式二项式定理系列 数学png图片素材免费下载 图片编号 Png素材网



二项式定理公式妙解高考真题 颠覆你想象的解题技巧 肖博数学



二項級数 Binomial Series Japaneseclass Jp



二項式定理 維基百科 自由的百科全書



5 1 二項式定理 每日頭條



5 1 二項式定理 每日頭條



组合数学及其应用 二项式定理 在苏州的城边 博客园



二项式定理 维基百科 自由的百科全书



二項定理の公式を超わかりやすく証明 係数を求める問題に挑戦だ 応用問題も解説 遊ぶ数学



二項定理とは コトバンク



二项式定理教案



二項定理とは 証明や応用問題の解き方をわかりやすく解説 受験辞典



高中數學 導數在二項式定理中的運用 每日頭條



二项式定理の秒解任意项系数 知乎



组合数学及其应用 二项式定理 在苏州的城边 博客园



01 二项式定理 高中数学 Youtube



牛頓的二項式定理 上 線代啟示錄



组合教育 高考数学必考知识点排列组合二项定理 复习指导 组合教育



二 項 定理



高一下數學2 3a觀念01二項式定理 Youtube



二項定理を超わかりやすく解説 公式 証明 係数 問題 理系ラボ



二項式定理 Youtube



二项式定理公式 高考数学专题 二项式定理 环球信息网



高校数学 Ncr と2項定理 映像授業のtry It トライイット



组合数学及其应用 二项式定理 Weixin 的博客 Csdn博客



高一高中數學的 數學 B2 2 4 二項式定理筆記 Clear



利用杨辉三角形来解释二项式定理 多项式 展开式 网易订阅



二项式公式大全 搜狗搜索



二项式定理 月亮的技术博客 Csdn博客



广义二项式定理计算平方根 知乎



A First Course In Probability Chape1 组合分析 二项式定理 Weixin 的博客 Csdn博客



二項式定理 維基百科 自由的百科全書



Q Tbn And9gcq C0fymrzcg 9aaq1py1tdo6e4x57gaguluvpzejt3gwayavjc Usqp Cau



澳門四校聯考數學攻略組 和常數有關的二項式定理 17年出了一次 年又一次 下次不會再有了吧 Facebook



二項式定理 二項式定理 英語 Binomial Theorem 又稱牛 華人百科



Word怎么快速添加二项式定理公式 百度经验



排列组合与二项式定理 数理化公式查询

コメント
コメントを投稿